Общий коэффициент капитализации может быть рассчитан методом инвестиционной группы. В общем виде метод инвестиционной группы принимает во внимание, какая часть выкупного капитала приходится на ипотечный кредит и какая - на собственный капитал. Он взвешивает доли в выкупном капитале по ставке процента и требуемой ставке конечной отдачи на собственный капитал соответственно.
В коэффициент общей капитализации, полученный методом инвестиционной группы, необходимо внести две поправки с тем, чтобы он стал эквивалентен общему коэффициенту капитализации по Эллвуду (до повышения или снижения стоимости собственности). Обе поправки относятся к амортизации кредита.
Поправка 1состоит в признании того, что выплаты по амортизации ипотеки необходимо производить из чистого ежегодного операционного дохода. Данная поправка уменьшает текущий доход, приходящийся на инвестора в собственный капитал, поэтому она прибавляется к ставке, полученной чистым методом инвестиционной группы. Выплаты по амортизации основной суммы кредита равны превышению ипотечной постоянной над ставкой процента. Точная сумма рассчитывается путем умножения излишка (ипотечная постоянная минус ставка процента по ипотечному кредиту) на коэффициент ипотечной задолженности.
Поправка 2необходима для того, чтобы учесть будущую дату, когда инвестор в собственный капитал получит выгоду от амортизации ипотечного долга. При перепродаже собственности инвесторы в собственный капитал получают цену перепродажи за вычетом затрат на совершение сделки и невыплаченного остатка долга. Таким образом, сокращение ипотечного долга реализуется при перепродаже как прирост собственного капитала. Поскольку эту выгоду инвестор получит позднее, то следует рассчитать ее эффективную ежегодную ставку с использованием фактора фонда возмещения, затем эта ставка вычитается из коэффициента, полученного чистым методом инвестиционной группы. Эффективная выгода инвесторов в собственный капитал зависит от коэффициента ипотечной задолженности и суммы ипотечного кредита, выплачиваемой за прогнозный период. Расчет эффективной годовой ставки дохода на собственный капитал осуществляется с использованием фактора фонда возмещения по ставке отдачи на собственный капитал.
Метод прямой капитализации
Данный метод разработан и используется специалистами Российского общества оценщиков (РОО).
Для описания метода воспользуемся аргументами, используемыми оценщиками РОО:
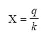
X - стоимость собственности;
q - чистый операционный доход;
pt - уплата за t-ый год в счет погашения единичного кредита;
k - ставка капитализации;
Y - ставка дисконтирования;
i - годовая ставка процента по кредиту;
d - ежегодный рост стоимости собственности;
n - предполагаемый срок владения собственностью;
m - коэффициент ипотечной задолженности
Тогда стоимость собственности (X)(17):
 
 
Коэффициент (ставка) капитализации (k) рассчитывается по формуле(18):
 
 
Где (19)
 
 
Для упрощения расчетов по нахождению  воспользуемся коэффициентом Инвуда или коэффициентом аннуитета. pt - уплата за t-ый год в счет погашения единичного кредита, и представляет собой аннуитет – поток равных платежей в течение n периодов. Тогда pt есть ипотечная постоянная(20).
 воспользуемся коэффициентом Инвуда или коэффициентом аннуитета. pt - уплата за t-ый год в счет погашения единичного кредита, и представляет собой аннуитет – поток равных платежей в течение n периодов. Тогда pt есть ипотечная постоянная(20). 
 
 
где f - ипотечная постоянная [формула (16)].
 
 
Статьи по теме:
Стратегия управления активами
	 
Банки не всегда рассматривали свои активы и пассивы в неразрывном единстве. До 60-х годов прошлого века банкиры большей частью воспринимали источники фондов – обязательства и собственный капитал. Согласно такому подходу к управлению активами предполагалось, что величина и виды хранимых банком депо ...
	
Банковские риски, связанные с депозитами
	 
Банковский риск – присущая банковской деятельности возможность (вероятность) понесения потерь и (или) ухудшения ликвидности вследствие наступления неблагоприятных событий, связанных с внутренними факторами и (или) внешними факторами (изменение экономических условий деятельности кредитной организац ...
	
Расчетные услуги банков клиентам
	 
Банки оказывают клиентам следующие виды расчетных услуг: 
· открытие 
расчетных, текущих, срочных и прочих счетов производится путем заключения договора банковского счета; 
· ведение счетов – 
списание и зачисление средств, перечисление средств со счета плательщика на счет получателя, начисление п ...